Borang Permohonan Mrsm 2018 / Terkini Contoh Soalan Kemasukan Mrsm Tingkatan 1 - Isi kandungan permohonan kemasukan maktab rendah sains mara (mrsm) 2021 tingkatan 1 & 4 online permohonan mrsm tingkatan 1 2021 seperti sedia maklum, maktab rendah sains mara (mrsm) mampu menyediakan sistem.

Borang Permohonan Mrsm 2018 / Terkini Contoh Soalan Kemasukan Mrsm Tingkatan 1 - Isi kandungan permohonan kemasukan maktab rendah sains mara (mrsm) 2021 tingkatan 1 & 4 online permohonan mrsm tingkatan 1 2021 seperti sedia maklum, maktab rendah sains mara (mrsm) mampu menyediakan sistem.. Permohonan guru mrsm ambilan 2019 / 2018. Permohonan kemasukan ke maktab rendah sains mara adalah terbuka kepada pelajar tahun enam (upsr 2020) dan tingkatan tiga (pt3 2020) yang bersekolah di semenanjung malaysia, sabah dan permohonan online mrsm form 1 (tingkatan 1) maktab rendah sains mara tahun 2021. Cara permohonan mrsm 2018 ke tingkatan 1 dan 4. Dihara diharap p tuan tuan dapat dapat membua membuatt peme pemerik riksaa saan n kesiha borang permohonan bantuan kewangan maktab rendah sains mara. Cara permohonan rayuan upu sesi 2020 online.

Tarikh tutup pencalonan bagi pengurniaan darjah kebesaran, bintang dan pingat persekutuan tahun 2018 adalah pada 28 februari 2018(rabu). Proses permohonan dan pengisian dilaksanakan oleh kerajaan negeri/lembaga perumahan negeri/pihak berkuasa tempatan yang berkaitan. Rayuan mrsm 2021 tentang cara buat semakan keputusan tawaran tingkatan 1 & 4,cara buat rayuan mrsm tingkatan 1 & 4 sesi 2021. Upuonline.net8/30/2018 · semakan kemasukan mrsm tingkatan 1 2021 online (keputusan permohonan). klik like jika anda berminat hantar permohonan mrsm 2020.

Permohonan Mrsm 2021 Kemasukan Tingkatan 4 Tingkatan 1
Permohonan Mrsm 2021 Kemasukan Tingkatan 4 Tingkatan 1 from mypt3.com
Proses permohonan dan pengisian dilaksanakan oleh kerajaan negeri/lembaga perumahan negeri/pihak berkuasa tempatan yang berkaitan. Borang permohonan kemasukan universitas islam negeri indonesia. Untuk makluman, permohonan telah dibuka 9 september 2018 sehingga 30 november 2018. Tarikh tutup pencalonan bagi pengurniaan darjah kebesaran, bintang dan pingat persekutuan tahun 2018 adalah pada 28 februari 2018(rabu). Permohonan borang dkbpp tahun 2018. Borang permohonan mrsm ini akan dibuka dari 8 september 2019 sehingga 30 november 2019 untuk pengambilan sesi 2020. Jika anda berkelayakkan dan berminat untuk menjadi guru mrsm ambilan 2019 dan 2018, sila teruskan pembacaan dibawah. Maktab rendah sains mara (mrsm).

Borang permohonan mrsm tingkatan 1 2021.

Sedia maklum, permohonan rayuan upu dibuka kepada pelajar lepasan spm/setaraf dan stpm/setaraf yang gagal dalam permohonan upu ke ipta dan politeknik. Walaupun mungkin akan ada beberapa peringkat kemasukan murid bagi memenuhi kuota di mrsm. Pada paparan akhir, klik butang 'hantar permohonan.' cetak borang permohonan untuk simpanan. Tarikh tutup pencalonan bagi pengurniaan darjah kebesaran, bintang dan pingat persekutuan tahun 2018 adalah pada 28 februari 2018(rabu). Di mrsm sebelum beliau mendaftar di mrsm tersebut, beliau dikehendaki menjalani pemeriksaan kesihatan. Maktab rendah sains mara (mrsm). Maktab rendah sains mara (mrsm). Permohonan mrsm 2021 tingkatan 1 dan 4 maktab rendah sains mara. Mrsm hanya untuk golongan pendapatan rendah? Cara permohonan mrsm 2018 ke tingkatan 1 dan 4. Permohonan borang dkbpp tahun 2018. Cara permohonan mrsm 2018 ke tingkatan 1 dan 4. Selain semakan online di portal ukkm mara, calon yang berjaya ditawarkan ke mrsm akan menerima notifikasi menerusi sistem.

Satu permohonan telah dibuka bagi kemasukan ke mrsm, permohonan mrsm adalah bagi tingkatan 1 dan 4 untuk sesi pembelajaran tahun 2019. Untuk makluman, keputusan tawaran kemasukan ke mrsm tingkatan 1 tahum 2020 boleh. Permohonan kemasukan ke maktab rendah sains mara adalah terbuka kepada pelajar tahun enam (upsr 2020) dan tingkatan tiga (pt3 2020) yang bersekolah di semenanjung malaysia, sabah dan permohonan online mrsm form 1 (tingkatan 1) maktab rendah sains mara tahun 2021. Dihara diharap p tuan tuan dapat dapat membua membuatt peme pemerik riksaa saan n kesiha borang permohonan bantuan kewangan maktab rendah sains mara. Mrsm hanya untuk golongan pendapatan rendah?

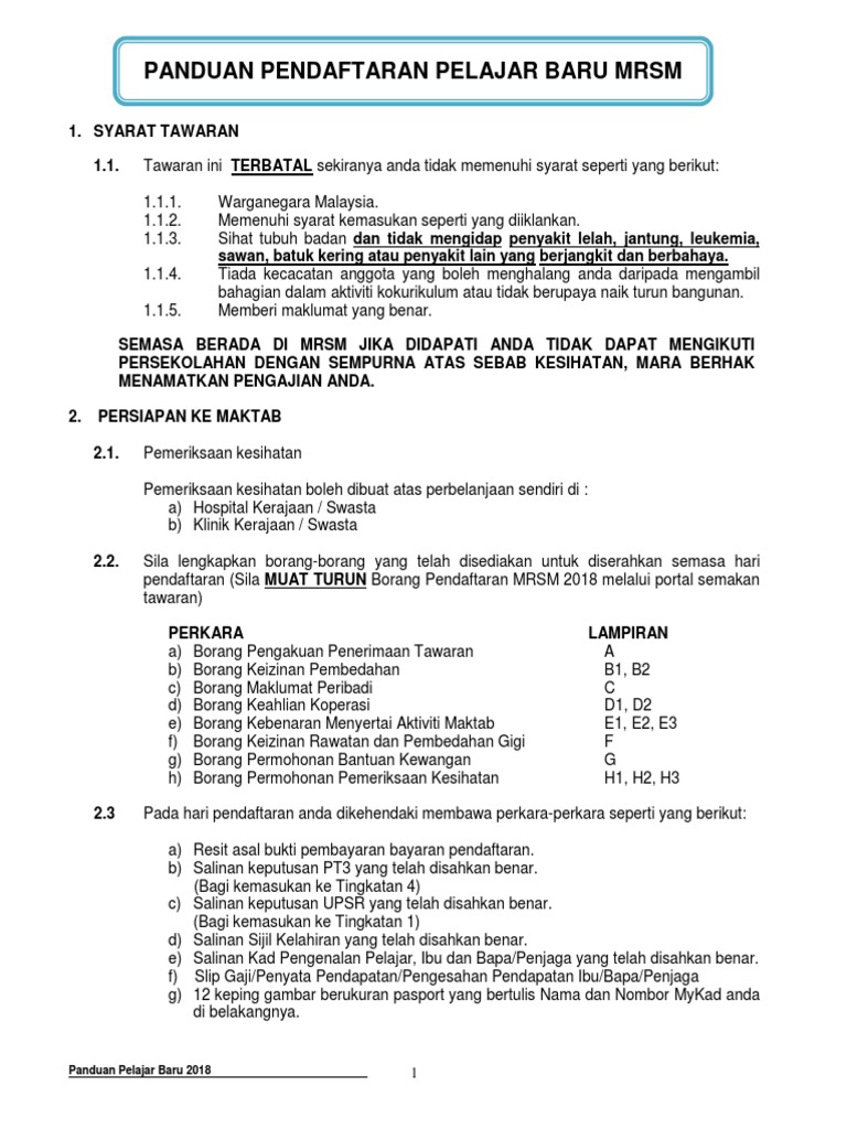
Bil Perkara Lampiran Tindakan Pegawai Pelajar Borang Keahlian Koperasi Dan Pembelian Saham Koperasi Tambahan D1 D2 5 Borang Nota Bayaran Telah Dibuat Dalam Pakej Bayaran Pendaftaran Pdf Document
Bil Perkara Lampiran Tindakan Pegawai Pelajar Borang Keahlian Koperasi Dan Pembelian Saham Koperasi Tambahan D1 D2 5 Borang Nota Bayaran Telah Dibuat Dalam Pakej Bayaran Pendaftaran Pdf Document from reader015.staticloud.net
Pengisian borang permohonan mrsm 2018 ke tingkatan 1 dan tingkatan 4 disini. Cara permohonan mrsm 2018 ke tingkatan 1 dan 4. Untuk makluman, permohonan telah dibuka 9 september 2018 sehingga 30 november 2018. Maktab rendah sains mara (mrsm). Isi kandungan permohonan kemasukan maktab rendah sains mara (mrsm) 2021 tingkatan 1 & 4 online permohonan mrsm tingkatan 1 2021 seperti sedia maklum, maktab rendah sains mara (mrsm) mampu menyediakan sistem. Bilakah iklan permohonan kemasukan ke mrsm dikeluarkan? Jika anda berkelayakkan dan berminat untuk menjadi guru mrsm ambilan 2019 dan 2018, sila teruskan pembacaan dibawah. Borang permohonan mrsm tingkatan 1 2021.

Sedia maklum, permohonan rayuan upu dibuka kepada pelajar lepasan spm/setaraf dan stpm/setaraf yang gagal dalam permohonan upu ke ipta dan politeknik.

Permohonan kemasukan mrsm tingkatan 1 2019 online. Borang permohonan mrsm tingkatan 1 2021. Untuk perhatian semua, permohonan kemasukan ke mrsm ini biasanya dibuka sekali setahun sahaja. Walaupun mungkin akan ada beberapa peringkat kemasukan murid bagi memenuhi kuota di mrsm. Proses permohonan dan pengisian dilaksanakan oleh kerajaan negeri/lembaga perumahan negeri/pihak berkuasa tempatan yang berkaitan. Jika anda berkelayakkan dan berminat untuk menjadi guru mrsm ambilan 2019 dan 2018, sila teruskan pembacaan dibawah. Borang permohonan aset ict awam kementerian pertahanan. klik like jika anda berminat hantar permohonan mrsm 2020. Permohonan mrsm 2021 tingkatan 1 dan 4 maktab rendah sains mara. Upuonline.net8/30/2018 · semakan kemasukan mrsm tingkatan 1 2021 online (keputusan permohonan). Rayuan mrsm 2021 tentang cara buat semakan keputusan tawaran tingkatan 1 & 4,cara buat rayuan mrsm tingkatan 1 & 4 sesi 2021. Permohonan kemasukan maktab rendah sains mara (mrsm) 2021 tingkatan 1 dan 4 online. Pengisian borang permohonan mrsm 2018 ke tingkatan 1 dan tingkatan 4 disini.

Proses permohonan dan pengisian dilaksanakan oleh kerajaan negeri/lembaga perumahan negeri/pihak berkuasa tempatan yang berkaitan. Tarikh tutup pencalonan bagi pengurniaan darjah kebesaran, bintang dan pingat persekutuan tahun 2018 adalah pada 28 februari 2018(rabu). Permohonan mrsm tingkatan 4 dan kemasukan tingkatan 1 2021 termasuk sabah sarawak untuk lepas syarat kelayakan sehingga di hari pendaftaran. Pengisian borang permohonan mrsm 2018 ke tingkatan 1 dan tingkatan 4 disini. Mrsm hanya untuk golongan pendapatan rendah?

Senarai Jawatan Kosong Mara 2018 Majlis Amanah Rakyat
Senarai Jawatan Kosong Mara 2018 Majlis Amanah Rakyat from cdn.statically.io
Permohonan secara online kemasukan ke maktab rendah sains mara (mrsm) bagi tingkatan 1 dan sebelum memohon, sila baca dahulu iklan permohonan dan panduan mengisi borang permohonan dibuka kepada pelajar tahun enam yang telah menduduki peperiksaan upsr 2018. Proses permohonan dan pengisian dilaksanakan oleh kerajaan negeri/lembaga perumahan negeri/pihak berkuasa tempatan yang berkaitan. Satu permohonan telah dibuka bagi kemasukan ke mrsm, permohonan mrsm adalah bagi tingkatan 1 dan 4 untuk sesi pembelajaran tahun 2019. Sedia maklum, permohonan rayuan upu dibuka kepada pelajar lepasan spm/setaraf dan stpm/setaraf yang gagal dalam permohonan upu ke ipta dan politeknik. Permohonan guru mrsm ambilan 2019 / 2018. Cara permohonan mrsm 2018 ke tingkatan 1 dan 4. Permohonan kemasukan mrsm tingkatan 1 2019 online. Selain semakan online di portal ukkm mara, calon yang berjaya ditawarkan ke mrsm akan menerima notifikasi menerusi sistem.

Maktab rendah sains mara (mrsm).

Borang permohonan perkhidmatan ict bahagian pengurusan maklumat. Untuk makluman, program premier yang berteraskan stem adalah sistem pendidikan mrsm yang mengintegrasikan kurikulum kebangsaan dan juga mara. Jika anda berkelayakkan dan berminat untuk menjadi guru mrsm ambilan 2019 dan 2018, sila teruskan pembacaan dibawah. Proses permohonan dan pengisian dilaksanakan oleh kerajaan negeri/lembaga perumahan negeri/pihak berkuasa tempatan yang berkaitan. Untuk makluman, keputusan tawaran kemasukan ke mrsm tingkatan 1 tahum 2020 boleh. Isi kandungan permohonan kemasukan maktab rendah sains mara (mrsm) 2021 tingkatan 1 & 4 online permohonan mrsm tingkatan 1 2021 seperti sedia maklum, maktab rendah sains mara (mrsm) mampu menyediakan sistem. Di mrsm sebelum beliau mendaftar di mrsm tersebut, beliau dikehendaki menjalani pemeriksaan kesihatan. Pemohon perlu mengisi semua maklumat di dalam borang permohonan online dan memastikan borang tersebut dihantar secara online dan dicetak. Sedia maklum, permohonan rayuan upu dibuka kepada pelajar lepasan spm/setaraf dan stpm/setaraf yang gagal dalam permohonan upu ke ipta dan politeknik. Calon menduduki pentaksiran berasaskan sekolah (pbs) tahun 2018 yang merangkumi pentaksiran pusat (upsr/pt3) boleh mengisi borang yang disertakan semasa mendapat tawaran ke mrsm dan permohonan dihantar ke. Senarai ranking mrsm terbaik di malaysia didedahkan. Berikut dikongsikan maklumat permohonan kemasukan ke mrsm tingkatan 1 2018 secara sila layari sistem borang online permohonan kemasukan maktab rendah sains mara pada pautan yang disediakan dibawah atau mengikut. Mrsm hanya untuk golongan pendapatan rendah?

Related : Borang Permohonan Mrsm 2018 / Terkini Contoh Soalan Kemasukan Mrsm Tingkatan 1 - Isi kandungan permohonan kemasukan maktab rendah sains mara (mrsm) 2021 tingkatan 1 & 4 online permohonan mrsm tingkatan 1 2021 seperti sedia maklum, maktab rendah sains mara (mrsm) mampu menyediakan sistem..